martes, 17 de marzo de 2020

Martes, 17 de marzo: soluciones a los ejercicios del día anterior

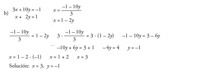
  • Estas son las soluciones de los cuatro ejercicios que se publicaron el lunes, día 16.
  • Comprueba si tienes la misma solución.
  • Si no es así, repásalo completo y después vuelve a hacerlo tu solo/a.
  • Puedes hacerme cualquier pregunta al correo electrónico.
  • En una hora, a las 13:00, se publica el trabajo para mañana




No hay comentarios:

Publicar un comentario